Повече от 100 000 българи са диагностицирани с болестта на Алцхаймер, към 2020 г. в света има приблизително 50 милиона души с болестта на Алцхаймер, като се очаква този брой да нараства с остаряването на населението.
Учените продължават да търсят фактори, влияещи върху развитието на заболяването, с надеждата да открият нови начини за намаляване на риска и подобряване на стратегиите за превенция.
Революционно изследване разкрива потенциално значима връзка между ваксинациите при възрастни и намаления риск от развитие на болестта на Алцхаймер.
Проучването на Медицинското училище „МакГовърн“ към Центъра за здравни науки на Тексаския университет в Хюстън хвърля нова светлина върху това как определени ваксини могат да допринесат за здравето на мозъка и дълголетието.
Резултатите са публикувани онлайн в Journal of Alzheimer's Disease.
Д-р Пол Шулц (Paul E. Schulz), професор по неврология в Медицинското училище „МакГовърн“ е старши автор и на новото изследване. Шулц е водещ в изследванията на болестта на Алцхаймер, особено в проучването на връзките между имунизациите и когнитивното здраве.
Това ново изследване следва друго ключово проучване на екипа на д-р Пол Шулц. Само преди година те съобщават, че лицата, получили поне една ваксина срещу грип, имат 40% по-нисък риск от развитие на болестта на Алцхаймер в сравнение с тези, които никога не са били ваксинирани.
Проучването допълва нарастващия обем от доказателства, че ваксинациите могат да играят защитна роля срещу невродегенеративни заболявания. Въпреки че точните механизми все още се изследват, изследователите предполагат, че ваксините могат да помогнат чрез намаляване на системното възпаление или предотвратяване на инфекции, които могат да ускорят когнитивния спад.
Задълбочавайки се в тази корелация, Шулц отбелязва:
„Ние и други хипотезираме, че имунната система е отговорна за причиняването на дисфункция на мозъчните клетки при болестта на Алцхаймер. Резултатите ни подсказват, че ваксинацията има по-общ ефект върху имунната система, който намалява риска от развитие на болестта на Алцхаймер“.
За да установят това, изследователите провеждат ретроспективно кохортно проучване. Те изследват пациенти без признаци на деменция през последните две години, които са на възраст поне 65 години в началото на осемгодишен наблюдателен период.

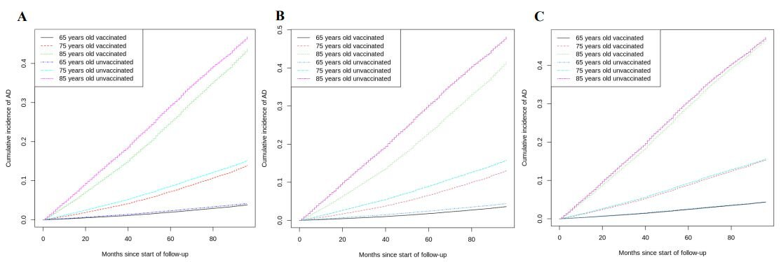
Резултати от модел на регресия на риска за a) Tdap/Td, b) HZ и c) пневмококови ваксинации, стратифицирани по три различни възрасти (65, 75, 85), измерени на изходно ниво, върху функцията на кумулативната честота (CIF) на AD. HZ, Херпес зостер; Tdap, тетаничен токсоид (използва се за предотвратяване на тетанус), редуциран дифтериен токсоид и коклюшна ваксина; Td, тетаничен токсоид и редуциран дифтериен токсоид. Кредит: Journal of Alzheimer's Disease (CC BY-SA 3.0)
Сравнявайки две аналогични групи пациенти – едната ваксинирана с Tdap/Td (ваксина против дифтерит, тетанус и коклюш, „дифтеткок“), HZ (срещу херпес зостер) или пневмококова ваксина, а другата неваксинирана – те успяват да определят относителното и абсолютното намаление на риска от болестта на Алцхаймер.
„Особено обнадеждаващо е да наблюдаваме последователни резултати в множество мащабни здравни бази данни“, споделя съавторът на изследването Яобин Лин (Yaobin Ling), докторант в Училището по биомедицинска информатика „МакУилямс“, подчертавайки значимостта на големите набори от данни.
Възползвайки се от усъвършенствани модели за данни и обширни бази данни, д-р Сяоциан Дзян (Xiaoqian Jiang), който заема професорската длъжност по биомедицинска информатика и биоинженерство в Училището „МакУилямс“, отбелязва, че са „получили ценни прозрения за това кои ваксини могат да предпазват от болестта на Алцхаймер."
Забележително е, че ваксинираните с Tdap/Td (ДифТетКок) ваксина имат 30% по-нисък риск от развитие на болестта на Алцхаймер в сравнение с неваксинираните. Ваксината срещу херпес зостер (HZ) и пневмококовите ваксини също показват обещаващи резултати, разкривайки съответно 25% и 27% намаление на риска от болестта на Алцхаймер.
Поставяйки тези числа в перспектива, Шулц споменава, че нововъведените анти-амилоидни антитела, използвани в лечението на болестта на Алцхаймер, успяват да забавят прогресията на заболяването само с 25%, 27% и 35%.

Корелация по двойки на ковариати (независими променливи) в кохортата преди използване в регресионния модел на конкурентен риск за вторичен анализ. Кредит: Journal of Alzheimer's Disease (CC BY-SA 3.0)
Д-р Аврам Бухбиндер (Avram Bukhbinder) предлага комбинация от механизми, които биха могли да обяснят тези наблюдения. Той заявява:
„Ваксините могат да променят начина, по който имунната система реагира на натрупването на токсични протеини, които допринасят за болестта на Алцхаймер, например като подобряват ефективността на имунните клетки в изчистването на тези токсични протеини."
Какви са ваксините Tdap и Td?
Tdap означава тетанус, дифтерия и коклюш (магарешка кашлица). Тази ваксина предпазва от три заболявания:
Тетанус – причинява се от бактерии, които се намират в почвата, праха и изпражненията. Тетанусът навлиза в тялото през порязвания или рани и води до схващания и болезнени мускулни спазми.
Дифтерия – респираторно заболяване, причинено от бактерии, които произвеждат токсин. То може да доведе до сериозни проблеми с дишането, сърдечна недостатъчност, парализа или дори смърт.
Коклюш (Магарешка кашлица) – силно заразно респираторно заболяване, което причинява тежки пристъпи на кашлица, затрудняващи дишането, храненето и пиенето. Особено опасно е за кърмачета.

Коклюш е бактериална инфекция, която причинява симптоми на горните дихателни пътища. Кредит: CC BY-SA 3.0
Td е ваксина срещу тетанус и дифтерия, използвана за поддържане на имунитета срещу тези две болести.
Защо ваксините са важни?
За юноши и възрастни: Tdap се препоръчва за подрастващи на около 11-12 години, но е важен и за възрастни, които не са били ваксинирани като деца, особено бременни жени по време на всяка бременност, за да се предпази новороденото от коклюш.
Бременни жени: Поставянето на Tdap по време на бременност помага за предпазване на новородените от магарешка кашлица, която може да бъде тежка или фатална при малки бебета.
Бустерни инжекции: Td се прилага като бустер на всеки 10 години за поддържане на имунитета срещу тетанус и дифтерия. Прилага се и след тежка рана или изгаряне, ако последната доза е била получена преди повече от пет години.

BCG ваксината за туберкулоза също е свързана с намален риск от деменция. Кредит: CC BY-SA 4.0
„Нашите открития са победа както за изследванията за превенция на болестта на Алцхаймер, така и за общественото здраве като цяло, тъй като това е още едно проучване, демонстриращо стойността на ваксинацията“, подчертава Кристофър Харис (Kristofer Harris), програмен мениджър в Катедрата по неврология в Центъра за здравни науки на Тексаския университет в Хюстън.
Това изследване предлага нова перспектива в изследванията на болестта на Алцхаймер. То не само подчертава значението на ваксинациите на възрастни за общото здраве, но също така предоставя обещаваща посока за бъдещи изследвания на Алцхаймер.
Справка: Harris, Kristofer et al. ‘The Impact of Routine Vaccinations on Alzheimer’s Disease Risk in Persons 65 Years and Older: A Claims-Based Cohort Study Using Propensity Score Matching’. 1 Jan. 2023 : 703 – 718. DOI: 10.3233/JAD-221231
Източник: New study reveals a major link between vaccines and Alzheimer’s, Тhe Brighter Side